OBECNÝ ÚRAD BANSKÉ
Banské 320
09412 Vranov nad Topľou
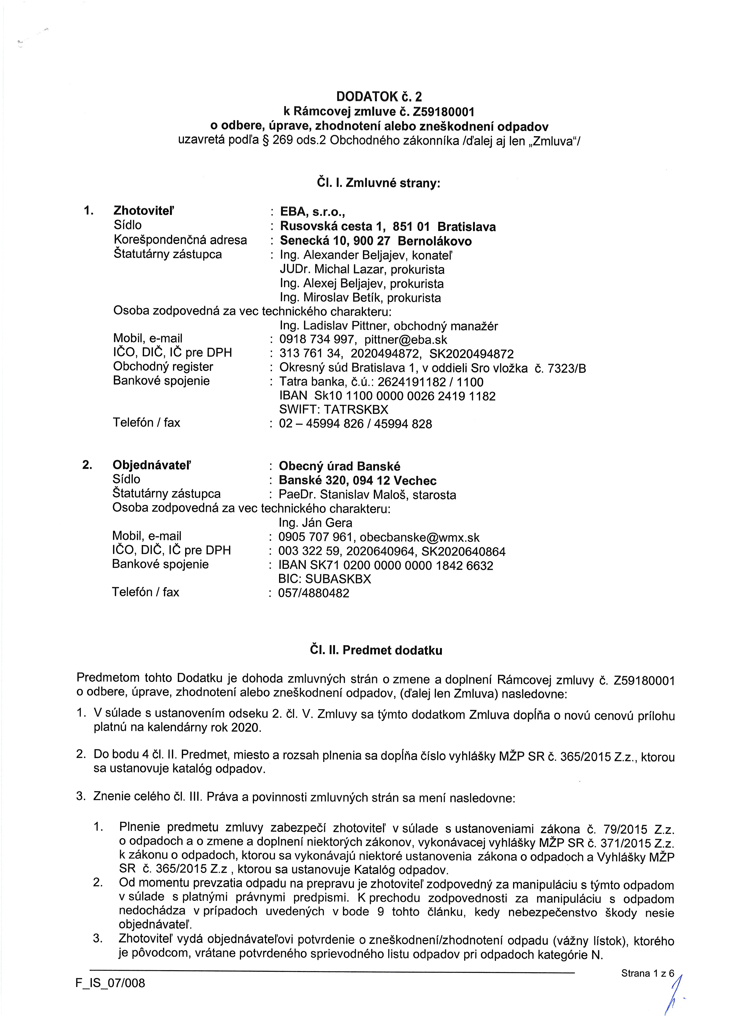
Detail zmluvy Dodatok č.2 k Rámcovej zmluve č. Z59180001
- Číslo zmluvy:
- Dodatok č.2 k Rámcovej zmluve č. Z59180001
- Názov:
- Dodatok č. 2 k zmluve č. Z59180001 o odbere, úprave, zhodnotení alebo zneškodnení odpadov
- Predmet zmluvy:
- -doplnenie cenovej prílohy platnej na rok 2020,čl V. - práva a povinnosti zmluvných strán čl.III., čl II......
- Cena:
- Neuvedené
- 1. Zmluvná strana:
-
- EBA, s.r.o.
- IČO:
- 313 761 34
- DIČ:
- 2020494872
- Adresa:
- Rusovská cesta 1, 851 01 Bratislava
- 2. Zmluvná strana:
-
- obec Banské
- IČO:
- 00332259
- Adresa:
- Banske 320
- Meno podpisujúcej osoby:
- PaedDr. Stanislav Maloš
- Funkcia podpisujúcej osoby:
- starosta obce
- Dátum zverejnenia:
- 5. 5. 2020
- Dátum účinnosti zmluvy:
- 7. 5. 2020
- Platnosť zmluvy do:
- Neuvedené
IMG_0001.jpg
Typ súboru: JPG obrázok, Veľkosť: 1,07 MB
IMG_0002.jpg
Typ súboru: JPG obrázok, Veľkosť: 1,86 MB
IMG_0003.jpg
Typ súboru: JPG obrázok, Veľkosť: 669,45 kB
IMG_0004.jpg
Typ súboru: JPG obrázok, Veľkosť: 1,1 MB
IMG_0005.jpg
Typ súboru: JPG obrázok, Veľkosť: 846,67 kB
IMG_0006.jpg
Typ súboru: JPG obrázok, Veľkosť: 690,1 kB
Zverejňovanie
Liturgické oznamy
Kalendár
December2025
| Po | Ut | St | Št | Pia | So | Ne |
|---|---|---|---|---|---|---|
| 1 | 2 | 3 | 4 | 5 | 6 | 7 |
| 8 | 9 | 10 | 11 | 12 | 13 | 14 |
| 15 | 16 | 17 | 18 | 19 | 20 | 21 |
| 22 | 23 | 24 | 25 | 26 | 27 | 28 |
| 29 | 30 | 31 | 1 | 2 | 3 | 4 |




